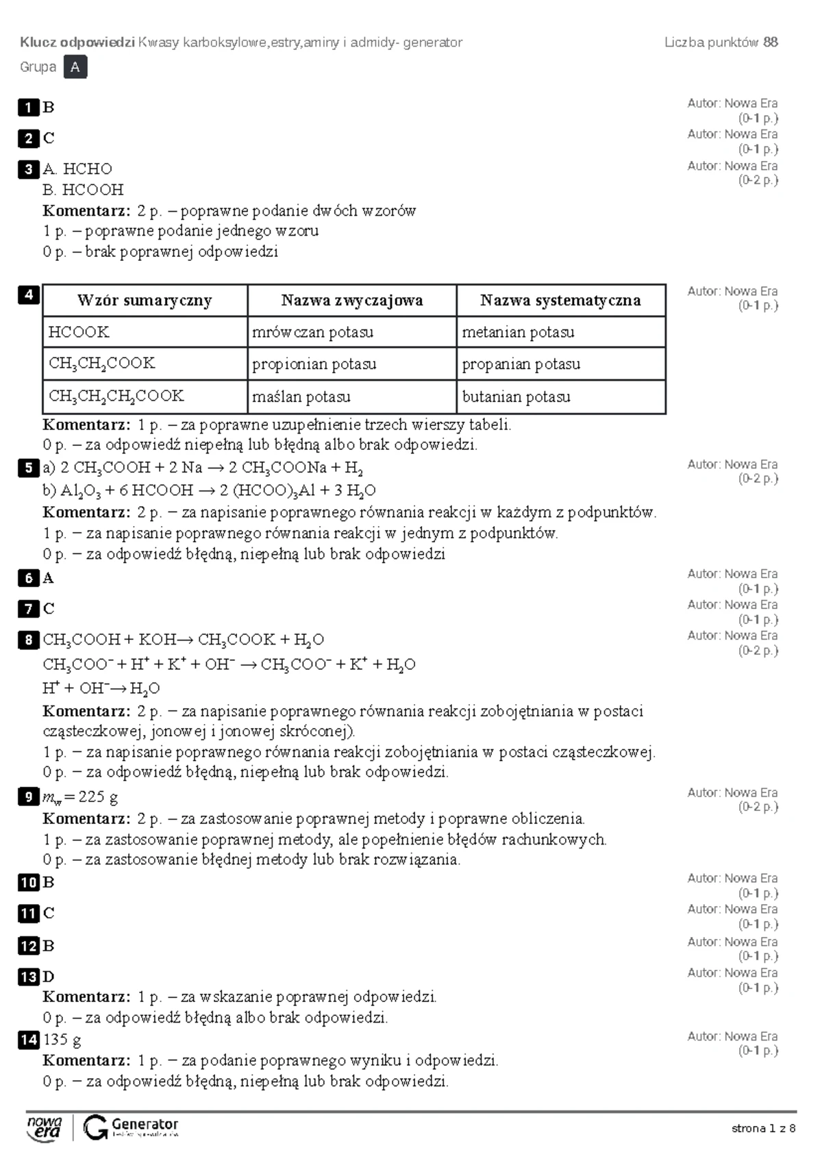
Sprawdzian Chemia Kwasy 2 Gimnazjum Odpowiedzi
Czy zastanawialiście się kiedyś, jak odnieść sukces na sprawdzianie z chemii, a konkretnie z tematów dotyczących kwasów? Klasa druga gimnazjum to czas intensywnego poznawania tajników tej fascynującej nauki, a jednym z kluczowych zagadnień są właśnie kwasy. Wiele osób odczuwa pewien niepokój, myśląc o sprawdzianie, dlatego przygotowaliśmy dla Was artykuł, który nie tylko rozjaśni wszelkie wątpliwości, ale także poda gotowe odpowiedzi, byście mogli poczuć się pewniej.
Ten artykuł jest skierowany do wszystkich uczniów klasy drugiej gimnazjum, którzy przygotowują się do sprawdzianu z kwasów. Niezależnie od tego, czy czujecie się pewnie w temacie, czy też macie pewne braki, znajdziecie tu cenne wskazówki i konkretne rozwiązania. Naszym celem jest nie tylko dostarczenie Wam wiedzy, ale przede wszystkim budowanie pewności siebie i pokazanie, że chemia, a zwłaszcza kwasy, może być fascynująca i zrozumiała.
Zrozumieć Kwasy – Klucz do Sukcesu
Zanim przejdziemy do konkretnych pytań i odpowiedzi, warto odświeżyć sobie podstawowe informacje o kwasach. Co właściwie sprawia, że dana substancja jest kwasem? Przede wszystkim, kwasy to związki chemiczne, które w roztworze wodnym dysocjują, oddając jony wodoru (H+). To właśnie obecność tych jonów nadaje kwasom ich charakterystyczne właściwości.
Pamiętajcie, że kwasy mogą być zarówno organiczne, jak i nieorganiczne. Kwasy nieorganiczne, takie jak kwas solny (HCl), kwas siarkowy(VI) (H2SO4) czy kwas azotowy(V) (HNO3), są powszechnie znane i stanowią podstawę wielu procesów przemysłowych i biologicznych. Kwasy organiczne, będące często składnikami żywności (np. kwas cytrynowy w cytrynach), również odgrywają istotną rolę w naszym życiu.
Kluczowe Właściwości Kwasów
Jak rozpoznać kwas? Istnieje kilka charakterystycznych cech:
- Smak: Wiele kwasów ma kwaśny smak (oczywiście, należy zachować ostrożność przy badaniu smaku substancji chemicznych!).
- Reakcja ze wskaźnikami: Kwasy zmieniają barwę wskaźników kwasowo-zasadowych. Na przykład, w obecności kwasu, papierek lakmusowy zmienia barwę na czerwoną, a fenoloftaleina pozostaje bezbarwna.
- Reakcja z metalami: Kwasy reagują z metalami znajdującymi się powyżej wodoru w szeregu aktywności metali, wydzielając gazowy wodór.
- Reakcja z zasadami: Kwasy reagują z zasadami w procesie zwanym neutralizacją, tworząc sole i wodę.
- Korozja: Silne kwasy mogą powodować korozję metali i uszkadzać inne materiały.
Zrozumienie tych właściwości jest fundamentalne do prawidłowego rozwiązywania zadań na sprawdzianie. Im lepiej je przyswoicie, tym łatwiej będzie Wam identyfikować kwasy i przewidywać ich zachowanie w różnych reakcjach.
Przykładowy Sprawdzian z Kwasów – Pytania i Odpowiedzi
Przygotowaliśmy dla Was zestaw przykładowych pytań, które mogą pojawić się na sprawdzianie z kwasów, wraz z dokładnymi odpowiedziami i krótkim wyjaśnieniem. Skupimy się na najważniejszych zagadnieniach, które zazwyczaj są sprawdzane przez nauczycieli.
Pytanie 1: Zapisz wzory sumaryczne i nazwy następujących kwasów:
- Kwas solny
- Kwas siarkowy(VI)
- Kwas azotowy(V)
- Kwas węglowy
- Kwas fosforowy(V)
Odpowiedź 1:
- Kwas solny: HCl (chlorowodór)
- Kwas siarkowy(VI): H2SO4 (kwas siarkowy(VI))
- Kwas azotowy(V): HNO3 (kwas azotowy(V))
- Kwas węglowy: H2CO3 (kwas węglowy)
- Kwas fosforowy(V): H3PO4 (kwas fosforowy(V))
Wyjaśnienie: Ważne jest, aby zapamiętać najczęściej występujące kwasy nieorganiczne. Ich nazwy i wzory są podstawą dalszej nauki chemii. Zwróćcie uwagę na stopnie utlenienia pierwiastków, które wpływają na nazewnictwo (np. w kwasie siarkowym(VI) siarka ma stopień utlenienia +VI).
Pytanie 2: Jakie są charakterystyczne właściwości kwasów? Wymień co najmniej trzy.
Odpowiedź 2:
Charakterystyczne właściwości kwasów to między innymi:
- Kwaśny smak (w przypadku bezpiecznych substancji).
- Zmiana barwy lakmusu na czerwoną.
- Reakcja z metalami znajdującymi się powyżej wodoru w szeregu aktywności metali, prowadząca do wydzielenia gazu.
- Reakcja z zasadami w procesie neutralizacji.
Wyjaśnienie: Te właściwości są kluczowe do identyfikacji kwasów i przewidywania ich zachowania w obecności innych substancji. Pamiętajcie o zastosowaniu wskaźników!
Pytanie 3: Napisz równanie reakcji kwasu solnego z magnezem.
Odpowiedź 3:
Równanie reakcji:
2 HCl + Mg → MgCl2 + H2↑
Wyjaśnienie: W tej reakcji magnez (metal) reaguje z kwasem solnym (kwasem). Produktami są chlorek magnezu (sól) i gazowy wodór. Pamiętajcie o bilansowaniu równań reakcji, aby liczba atomów poszczególnych pierwiastków była taka sama po obu stronach.
Pytanie 4: Czym jest reakcja neutralizacji? Podaj przykład.
Odpowiedź 4:
Reakcja neutralizacji to reakcja chemiczna między kwasem a zasadą, w wyniku której powstaje sól i woda. Jest to proces, w którym jony H+ z kwasu reagują z jonami OH- z zasady, tworząc neutralną cząsteczkę wody.
Przykład: Reakcja kwasu solnego (HCl) z wodorotlenkiem sodu (NaOH):
HCl + NaOH → NaCl + H2O
Wyjaśnienie: W tym przykładzie kwas solny reaguje z zasadą sodową, tworząc chlorek sodu (sól kuchenną) i wodę. Jest to bardzo ważna reakcja, która ma zastosowanie np. w przemyśle farmaceutycznym i spożywczym.
Pytanie 5: Wskaźnik fenoloftaleina w obecności kwasu przyjmuje barwę...
- A. Czerwoną
- B. Fioletową
- C. Bezbarwną
- D. Zieloną
Odpowiedź 5:
Prawidłowa odpowiedź to C. Bezbarwną.
Wyjaśnienie: Fenoloftaleina jest wskaźnikiem, który w środowisku obojętnym i kwaśnym jest bezbarwny, a w środowisku zasadowym przyjmuje barwę malinową (różową). Pamiętajcie o zapamiętaniu zachowania popularnych wskaźników!
Pytanie 6: Wymień dwa kwasy organiczne i podaj ich zastosowanie.
Odpowiedź 6:
- Kwas octowy: Jest składnikiem octu spożywczego, używanym jako przyprawa i środek konserwujący.
- Kwas cytrynowy: Znajduje się w owocach cytrusowych, dodawany jest do napojów, słodyczy i kosmetyków jako regulator kwasowości i środek konserwujący.
Wyjaśnienie: Kwasy organiczne są nieodłączną częścią naszego codziennego życia. Znajomość ich podstawowych zastosowań może okazać się pomocna.
Jak Efektywnie Przygotować Się do Sprawdzianu?
Teraz, gdy już znamy przykładowe pytania i odpowiedzi, warto zastanowić się, jak najlepiej wykorzystać tę wiedzę i przygotować się do sprawdzianu. Oto kilka sprawdzonych sposobów:
- Dokładnie przeanalizujcie notatki: Przeczytajcie jeszcze raz wszystkie informacje z lekcji, podręcznika i zeszytu.
- Powtarzajcie definicje i wzory: Kluczowe jest opanowanie nazw i wzorów kwasów, a także ich podstawowych właściwości.
- Rozwiązujcie zadania praktyczne: Im więcej ćwiczycie, tym lepiej opanowujecie materiał. Korzystajcie z przykładowych zadań i ćwiczeń z podręcznika.
- Twórzcie własne pytania i odpowiedzi: To świetny sposób na sprawdzenie swojej wiedzy. Możecie nawet połączyć siły z kolegami i tworzyć wspólne zestawy pytań.
- Zwracajcie uwagę na reakcje: Zrozumienie, jak kwasy reagują z innymi substancjami, jest kluczowe. Ćwiczcie pisanie i bilansowanie równań reakcji.
- Używajcie wskaźników: Wizualizacja działania wskaźników kwasowo-zasadowych może pomóc w zapamiętaniu ich reakcji.
Pamiętajcie, że kluczem do sukcesu jest systematyczność i aktywne uczenie się. Nie próbujcie wkuć wszystkiego na ostatnią chwilę. Rozkładajcie naukę na mniejsze partie i wracajcie do materiału regularnie.
Podsumowanie – Pewność Siebie to Połowa Sukcesu
Sprawdzian z kwasów w drugiej klasie gimnazjum może wydawać się wyzwaniem, ale z odpowiednim przygotowaniem i podejściem, jest on w zasięgu Waszych możliwości. Mamy nadzieję, że przedstawione pytania i odpowiedzi pomogły Wam lepiej zrozumieć omawiane zagadnienia i rozwiały wszelkie wątpliwości.
Pamiętajcie: Chemia, podobnie jak inne nauki ścisłe, wymaga logicznego myślenia i zrozumienia podstawowych zasad. Kwasy, mimo swojej złożoności, poddają się tej logice. Stosujcie się do naszych wskazówek, pracujcie pilnie, a wyniki na sprawdzianie na pewno Was pozytywnie zaskoczą. Jesteśmy pewni, że poradzicie sobie doskonale! Powodzenia!
