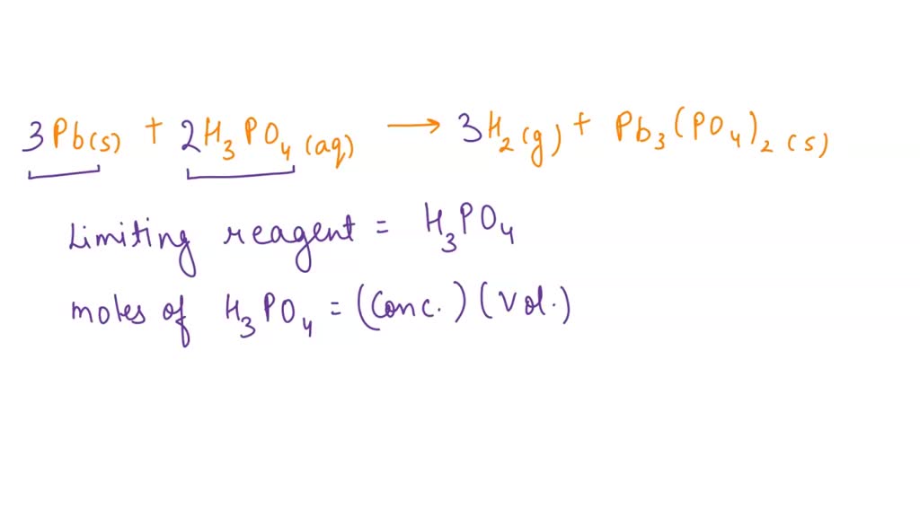
Pb H3po4 H2 Pb3 Po4 2
Hej! Rozumiem, że chemia może wydawać się trudna, zwłaszcza kiedy napotykasz takie wzory jak Pb, H3PO4, H2, czy Pb3(PO4)2. Nie martw się! Wielu uczniów i rodziców ma podobne odczucia. Celem tego artykułu jest *przystępne* wyjaśnienie tych zagadnień, krok po kroku, tak abyś mógł/mogła poczuć się pewniej z chemią. Pamiętaj, że *każdy* może zrozumieć chemię, wystarczy odpowiednie podejście i trochę cierpliwości!
Zacznijmy od podstaw: Symbole chemiczne
Pb – Ołów: Ołów to metal, który w układzie okresowym pierwiastków ma symbol Pb. Używany jest w wielu zastosowaniach, choć ze względu na swoją toksyczność, jego użycie jest coraz bardziej ograniczone. Pamiętaj, że *każdy pierwiastek* ma swój symbol! Wyobraź sobie, że to jakby skrót jego imienia i nazwiska, tylko dla pierwiastków.
H3PO4 – Kwas fosforowy(V): To *ważny* związek chemiczny. Pomyśl o nim jak o cytrynie, ale zamiast kwasku cytrynowego, mamy kwas fosforowy(V). Jest używany w produkcji nawozów, detergentów i wielu innych produktach. Zwróć uwagę na cyfrę rzymską w nazwie – (V). Określa ona stopień utlenienia fosforu.
H2 – Wodór: To *najprostszy i najlżejszy* pierwiastek. Pomyśl o nim jak o małej, niewidzialnej cząsteczce, która jest wszędzie. Wodór jest obiecującym paliwem przyszłości i budulcem wszechświata.
Pb3(PO4)2 – Fosforan(V) ołowiu(II): To *związek jonowy*, czyli połączenie ołowiu (Pb) i reszty kwasu fosforowego (PO4). Wyobraź sobie, że to jak układanka LEGO, gdzie "klocki" to jony ołowiu i fosforanowe, a całość tworzy stabilną strukturę. Cyfra (II) przy ołowiu informuje nas, że ołów występuje na drugim stopniu utlenienia.
Jak czytać i rozumieć wzory chemiczne?
Wzór chemiczny, to tak naprawdę *skrócony zapis* składu danego związku. Mówi nam on, jakie pierwiastki wchodzą w skład związku i w jakiej proporcji. Na przykład:
- H2O (woda): Mówi nam, że cząsteczka wody składa się z dwóch atomów wodoru (H) i jednego atomu tlenu (O).
- CO2 (dwutlenek węgla): Mówi nam, że cząsteczka dwutlenku węgla składa się z jednego atomu węgla (C) i dwóch atomów tlenu (O).
Małe cyfry, zwane indeksami stechiometrycznymi, pokazują liczbę atomów danego pierwiastka w cząsteczce. Jeśli cyfry nie ma, to oznacza, że atom danego pierwiastka występuje jeden raz w cząsteczce.
Stopień utlenienia – Co to takiego?
Stopień utlenienia to umowna liczba ładunków, jaką miałby atom w związku chemicznym, gdyby wszystkie wiązania były jonowe. Inaczej mówiąc, to "potencjalny ładunek" atomu. Pamiętaj, że stopień utlenienia może być dodatni, ujemny lub równy zero. Pomaga nam przewidywać właściwości chemiczne związków.
Np. w H3PO4, wodór ma stopień utlenienia +I, tlen -II, a fosfor +V. Suma stopni utlenienia wszystkich atomów w związku musi być równa zero (dla związków obojętnych) lub ładunkowi jonu (dla jonów).
Pb3(PO4)2 – Rozkład na czynniki pierwsze!
Wzór Pb3(PO4)2 może na początku przestraszyć, ale rozłóżmy go na części pierwsze:
- Pb3: Oznacza, że w cząsteczce fosforanu(V) ołowiu(II) występują trzy atomy ołowiu.
- (PO4)2: Oznacza, że występują dwie grupy fosforanowe (PO4). Każda grupa fosforanowa składa się z jednego atomu fosforu (P) i czterech atomów tlenu (O).
Czyli w sumie w cząsteczce Pb3(PO4)2 mamy:
- 3 atomy ołowiu (Pb)
- 2 atomy fosforu (P)
- 8 atomów tlenu (O) (2 grupy PO4 * 4 atomy O w każdej grupie)
Ważne! Nawiasy wokół (PO4) i cyfra 2 za nawiasem oznaczają, że cała grupa PO4 występuje dwa razy. Pomyśl o tym jak o mnożeniu matematycznym: (PO4)2 to tak naprawdę 2*(PO4).
Jak się uczyć chemii efektywnie?
Wielu nauczycieli podkreśla, że *kluczem do sukcesu* w chemii jest regularność i aktywne uczenie się. Zamiast tylko czytać podręcznik, spróbuj robić notatki, rozwiązywać zadania i tłumaczyć zagadnienia innym.
Rada od nauczyciela chemii (Anna Kowalska): "Najważniejsze to nie bać się pytać! Jeśli czegoś nie rozumiesz, pytaj nauczyciela, kolegów, szukaj odpowiedzi w internecie. Ważne, żeby rozwiać wątpliwości od razu, bo niezrozumienie jednego zagadnienia może utrudnić zrozumienie kolejnych."
Ćwiczenia i zadania praktyczne:
- Narysuj strukturę Lewisa dla H3PO4. To pomoże Ci zrozumieć, jak atomy są ze sobą połączone.
- Oblicz masę molową Pb3(PO4)2. Potrzebujesz do tego układu okresowego pierwiastków.
- Zrób kartkówkę z symboli pierwiastków. To pomoże Ci zapamiętać podstawowe symbole chemiczne.
- Znajdź w Internecie zastosowania ołowiu i fosforanu(V) ołowiu(II). Poszerzysz swoją wiedzę o praktycznym wykorzystaniu tych związków.
- Stwórz własną "ściągawkę" z najważniejszymi wzorami i definicjami. Będziesz mógł/mogła z niej korzystać podczas nauki.
Chemia na co dzień? Zaskakujące!
Chemia to nie tylko wzory i równania. To *nauka o materii* i jej przemianach, czyli o wszystkim, co nas otacza. Czy wiesz, że chemia jest obecna w kuchni, w łazience, w ogrodzie, a nawet w naszym ciele?
- Gotowanie: To nic innego jak reakcje chemiczne zachodzące pod wpływem temperatury.
- Pranie: Detergenty zawierają związki chemiczne, które pomagają usunąć brud i plamy.
- Oddychanie: To proces chemiczny, w którym tlen reaguje z glukozą, dostarczając nam energii.
Spróbuj znaleźć przykłady zastosowania chemii w swoim otoczeniu. To pomoże Ci zobaczyć, że chemia to nie tylko abstrakcyjna nauka, ale też coś, co ma realny wpływ na nasze życie.
Podsumowanie i motywacja
Chemia może wydawać się trudna, ale z odpowiednim podejściem i systematyczną pracą, każdy może ją zrozumieć. Pamiętaj, że *nie musisz być geniuszem*, żeby dobrze radzić sobie z chemią. Wystarczy chęć do nauki, cierpliwość i regularne ćwiczenia.
Wykorzystaj wiedzę zdobytą w tym artykule, rozwiąż zadania, pytaj, szukaj informacji. Nie zrażaj się trudnościami! Każdy ma gorsze dni. Ważne, żeby się nie poddawać i iść dalej. Pamiętaj, że *sukces w chemii to kwestia czasu i wysiłku*.
Działaj! Zacznij od małych kroków. Wybierz jedno zagadnienie, które Cię interesuje i spróbuj je zrozumieć. Stopniowo poszerzaj swoją wiedzę. A przede wszystkim – nie bój się chemii!
